Quick Look
Grade Level: 12 (10-12)
Time Required: 30 minutes
Lesson Dependency:
Subject Areas: Chemistry, Physical Science, Physics
NGSS Performance Expectations:
| HS-PS1-3 |

Summary
Students are presented with a short lesson on the difference between cohesive forces (the forces that hold water molecules together and create surface tension) and adhesive forces (the forces that causes water to "stick" to solid surfaces. The interaction between cohesive forces and adhesive forces causes the well-known capillary action. Students also use the associated activities to introduce examples of capillary action found in nature and in our day-to-day lives.Engineering Connection
Many industrial processes depend on the accurate measurement of surface tension. When an object is painted or coated, the coating surface tension must be carefully maintained to produce the desired thickness without creating uneven patches. The strength and effectiveness of detergents are also partially determined by surface tension. One accurate method of measuring surface tension is through capillary action. The height water rises in a thin tube is related to the surface tension of the climbing liquid. Besides providing a method for measuring surface tension, capillary action itself has many different applications. Capillary action in part determines the behavior of ground water in the soil, which makes it important to civil and environmental engineers in understanding the stability of buildings and roads as well as the environmental impact of human development. Petroleum engineers use their understanding of capillary action in the extraction of crude oil from its rock reservoirs. And, understanding capillary action in the transport of fluids in animals is important in biomedical engineering.
Learning Objectives
After this lesson, students should be able to:
- Describe the differences between cohesive and adhesive forces.
- Explain how a meniscus is formed.
- Describe how the combination of adhesive and cohesive forces causes water to rise in a thin tube or other small space (capillary action).
- Explain how capillary action is used.
Educational Standards
Each TeachEngineering lesson or activity is correlated to one or more K-12 science,
technology, engineering or math (STEM) educational standards.
All 100,000+ K-12 STEM standards covered in TeachEngineering are collected, maintained and packaged by the Achievement Standards Network (ASN),
a project of D2L (www.achievementstandards.org).
In the ASN, standards are hierarchically structured: first by source; e.g., by state; within source by type; e.g., science or mathematics;
within type by subtype, then by grade, etc.
Each TeachEngineering lesson or activity is correlated to one or more K-12 science, technology, engineering or math (STEM) educational standards.
All 100,000+ K-12 STEM standards covered in TeachEngineering are collected, maintained and packaged by the Achievement Standards Network (ASN), a project of D2L (www.achievementstandards.org).
In the ASN, standards are hierarchically structured: first by source; e.g., by state; within source by type; e.g., science or mathematics; within type by subtype, then by grade, etc.
NGSS: Next Generation Science Standards - Science
| NGSS Performance Expectation | ||
|---|---|---|
|
HS-PS1-3. Plan and conduct an investigation to gather evidence to compare the structure of substances at the bulk scale to infer the strength of electrical forces between particles. (Grades 9 - 12) Do you agree with this alignment? |
||
| Click to view other curriculum aligned to this Performance Expectation | ||
| This lesson focuses on the following Three Dimensional Learning aspects of NGSS: | ||
| Science & Engineering Practices | Disciplinary Core Ideas | Crosscutting Concepts |
| Construct an explanation based on valid and reliable evidence obtained from a variety of sources (including students' own investigations, models, theories, simulations, peer review) and the assumption that theories and laws that describe the natural world operate today as they did in the past and will continue to do so in the future. Alignment agreement: | The structure and interactions of matter at the bulk scale are determined by electrical forces within and between atoms. Alignment agreement: | The functions and properties of natural and designed objects and systems can be inferred from their overall structure, the way their components are shaped and used, and the molecular substructures of its various materials. Alignment agreement: |
Common Core State Standards - Math
-
Rearrange formulas to highlight a quantity of interest, using the same reasoning as in solving equations.
(Grades
9 -
12)
More Details
Do you agree with this alignment?
-
Solve linear equations and inequalities in one variable, including equations with coefficients represented by letters.
(Grades
9 -
12)
More Details
Do you agree with this alignment?
International Technology and Engineering Educators Association - Technology
-
Students will develop an understanding of the relationships among technologies and the connections between technology and other fields of study.
(Grades
K -
12)
More Details
Do you agree with this alignment?
State Standards
North Carolina - Math
-
Rearrange formulas to highlight a quantity of interest, using the same reasoning as in solving equations.
(Grades
9 -
12)
More Details
Do you agree with this alignment?
-
Solve linear equations and inequalities in one variable, including equations with coefficients represented by letters.
(Grades
9 -
12)
More Details
Do you agree with this alignment?
North Carolina - Science
-
Analyze systems of forces and their interaction with matter.
(Grades
9 -
12)
More Details
Do you agree with this alignment?
Pre-Req Knowledge
A basic understanding of cohesive forces (attraction of liquid molecules to each other) and surface tension.
Introduction/Motivation
(In advance, have handy a glass of water, food dye/coloring, and white paper towels, to use as described below.)
(Hold up a beaker or glass of water colored with food dye.) Imagine you've been outside during a hot July day. You come inside and pour a big glass of water. (Place glass on counter top.) Now let's say you start talking to your parents or a brother or sister and... (knock the glass over to spill some of the water with food dye.) What are you going to do now? (Expect someone to suggest using a paper towel to clean it up.)
(Place one edge of a white paper towel into the colored water spill. Let the water climb into the paper towel while you talk.) Will someone in front who can see what is happening to the towel describe it for those in the back? (Expect a student to describe how the color is creeping up the towel.) Why is this happening? (Give students some time to answer. Expect a student to mention the spaces or holes in the towel.) Good. What else can you think of that has holes and absorbs water? (Various answers are possible. One example is a sponge).
(Lift the paper towel out of the liquid and show the class how the liquid has climbed.) What if I tried to do this with a plastic bag, would that absorb the water? Why not? Let's list some materials that can absorb and some that cannot. We'll see what each group have in common. (With students' help, create two lists and look for the similarities within each group and the differences between them.)
One very accurate method of measuring surface tension is through capillary action, since the height water rises in a thin tube is related to the surface tension of the climbing liquid. For many industrial processes, an accurate measurement of surface tension important — such as when painting or coating an object (coating a pan with oil from a spray can, applying solder to form electrical connections on a circuit board, applying ink using inkjet printing, aircraft painting, etc.), so the surface tension of the coating is carefully maintained to produce the desired thickness without creating any uneven patches. The strength and effectiveness of detergents are also partially determined by surface tension.
Besides providing a method for measuring surface tension, capillary action itself has many different applications. Can you think of any examples of capillary action in the real-world? (Take suggestions from students.) What about: cleaning with a sponge, how the soil in your yard absorbs rain water, wax rising up a wick, or how your T-shirt gets wet when you sweat? What about some applications that engineers might be involved with? Well, capillary action in part determines the behavior of ground water in the soil, which makes it important to civil and environmental engineers in understanding the stability of buildings and roads as well as the environmental impact of human development. Petroleum engineers use their understanding of capillary action in the extraction of crude oil from its rock reservoirs. And, understanding capillary action in the transport of fluids in animals is important in biomedical engineering.
We've already learned about surface tension and the forces that hold water drops together. Today we are going to discuss why water sticks to other things and even climbs up some objects. We will see that these phenomena provide us with a method of accurately measuring surface tension.
Lesson Background and Concepts for Teachers
Cohesive and Adhesive Forces

In any liquid, intermolecular forces cause the liquid molecules to be attracted to each other. These forces that pull liquid molecules towards each other are known as "cohesive" forces. In the body of a liquid, a molecule is surrounded by other molecules in all directions, so the attractive forces cancel and the molecule feels no overall force (see Figure 1). On the surface of the liquid/air interface, however, a molecule of the liquid feels the attractive forces of the other molecules from within the liquid, but none from the outside. This causes the outer layer of the liquid to act like a stretched membrane and minimize the surface area. We call this elastic membrane-like behavior surface tension.
Besides cohesive forces, "adhesive" forces also exist; they cause water molecules to try to "stick," or "adhere," to solid surfaces. The most common example of the effect of adhesive forces is the meniscus that is commonly seen when using graduated cylinders. The water molecules respond to an attractive "adhesive" force pulling them towards the glass walls. Near the walls of the cylinder, the adhesive force pulling the water towards the glass walls is stronger than the cohesive force pulling the water molecules together. This attractive force pulls the water up the sides of the glass tube against the downwards pull of gravity (see Figure 2). Refer to the Exploring Capillary Action activity to have students replicate these effects with a hands-on design and test procedure.
Conversely, liquid mercury is repelled rather than attracted to glass. The mercury tries to minimize its contact with the glass walls. This causes an upward bowing of the mercury liquid against the downwards pull of gravity as it tries to maximize the contact between mercury atoms and minimize the contact with the glass wall (see Figure 3).
Capillarity is the combined effect of cohesive and adhesive forces that causes water and other liquids to rise in thin tubes or other constricted spaces. Inside a thin glass tube, the adhesive force, the attraction between the water and the glass wall, draws water up the sides of the glass tube to form a meniscus. The cohesive force, the attraction of the water molecules to each other, then tries to minimize the distance between the water molecules by pulling the bottom of the meniscus up against the force of gravity.
In large-diameter tubes, this rise in the water level is unnoticeable. However, in very small-diameter tubes, the cohesive forces can draw the water upwards appreciable distances (see Figure 4). The water continues to climb up the tube until the downward force of gravity on the water equals the upwards force caused by the surface tension.
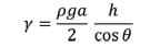
A simple relationship determines how far the water is pulled up the tube (see Figure 5). The force upwards due to the surface tension is given by the following relationship:

In this relationship, γ is the liquid-air surface tension at 20o C, 2πa is the circumference of the tube, and θ is the contact angle of water on glass, a measure of the attraction of the liquid to the walls. The opposing force down is given by the force of gravity on the water that is pulled above the reservoir level.

Here, ρ = 1000 kg/m3 is the density of water, g = 9.8 m/s2 is the acceleration due to gravity, and (hπa2) is the volume of the water in the column above the reservoir.
Measuring Surface Tension
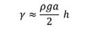
One method to measure the surface tension of a liquid is to measure the height the liquid rises in a capillary tube. By setting the two forces above equal, we find the surface tension to be:

For pure water and clean glass, the contact angle is nearly zero. In a typical high school lab, this may not be the case, but θ is small and we assume that cos θ is close to 1.

Note that students must convert ρ, g, a and h into SI units before entering them into the equation. The SI unit for surface tension is J/m2 (or N/m).
The accepted value of the surface tension of water in air at 20o C is γ = 0.073 J/m2. However, you must use pure water and extremely clean glass to get this result. Usually, the measured surface tension is at least half of this number. Students can practice measuring surface tension with a hands-on experiment in the Measuring Surface Tension activity.
Associated Activities
- Exploring Capillary Action - Students observe glass-water menisci and explain the shape in terms of adhesive forces. Using capillary tubes, they see water climbing due to capillary action. Then, teams design and test "capillary siphons" that can be used to filter water.
- Measuring Surface Tension - Students use capillary action to measure surface tension. They find the average surface tension and calculate the statistical error.
Vocabulary/Definitions
meniscus: The convex or concave upper surface of a column of liquid, the curvature of which is caused by surface tension. (plural: menisci) Source: Dictionary.com.
surface tension: The property of the surface of a liquid that allows it to resist an external force. This property is caused by cohesion of like molecules and explains many of the behaviors of liquids. Source: Wikipedia, May 2011.
Assessment
Pre-Lesson Assessment
Discussion Questions: Ask the students and discuss as a class:
- Who can remind the class what we have already learned about surface tension?
- When you water a plant, no matter where in the pot you pour in the water, the water reaches all of the roots. How does it do this?
- Why does a paper towel absorb water, while a piece of plastic does not?
Post-Introduction Assessment
Problems to Check for Understanding: Ask students to work individually (or in pairs or small groups) to answer the following two problems. Review and discuss answers as a class (or have students compare answers) in order to gauge their level of understanding before moving on to conduct the associated lab activity.
- Estimate, in cm, how high water will reach by capillary action if the tube is the diameter of a human hair, 150μm (1.5 x 10-4 m), if we assume the surface tension of water in air is 0.073 J/m2. (Answer: 19.86 cm. See solution if necessary.)
- Explain in 3-4 short sentences why water is able to move up a thin tube.
Lesson Summary Assessment / Homework
Expand on What You Have Learned: Either in class or at home, assign students to investigate a real-life example of capillarity in action. Use the examples mentioned in the Introduction/Motivation section or others provided by the teacher. Require that each student prepare a poster and/or three-minute class presentation that includes at least four pictures to illustrate the example, and answers to the following questions:
- How would you describe your capillarity example?
- Why is your topic an example of capillarity?
- What are the practical uses or effects of your example?
Subscribe
Get the inside scoop on all things TeachEngineering such as new site features, curriculum updates, video releases, and more by signing up for our newsletter!More Curriculum Like This
Students are presented with the concepts of wetting and contact angle. They are also introduced to the distinction between hydrophobic and hydrophilic surfaces. Students observe how different surfaces are used to maintain visibility under different conditions.
Students are presented with the question: "Why does a liquid jet break up into droplets?" and introduced to its importance in inkjet printers. A discussion of cohesive forces and surface tension is included, as well as surface acting agents (surfactants) and their ability to weaken the surface tensi...
Students observe capillary action in glass tubes of varying sizes. Then they use the capillary action to calculate the surface tension in each tube. They find the average surface tensions and calculate the statistical errors.
Students learn about the basics of molecules and how they interact with each other. They learn about the idea of polar and non-polar molecules and how they act with other fluids and surfaces. Students acquire a conceptual understanding of surfactant molecules and how they work on a molecular level. ...
References
Adamson, Arthur W., et al. Physical Chemistry of Surfaces. New York, NY: Wiley, 1997, p. 16-19.
Brown, Theodore, et al. Chemistry: The Central Science. 9th edition. Upper Saddle River, NJ: Pearson Education, Inc., 2003. (General information on surface tension and capillary action.)
JRank Science & Philosophy Science Encyclopedia. "Capillary Action." Science.jrank.org. Accessed June 2010. http://science.jrank.org/pages/1182/Capillary-Action.html
Mike. "Tree Physics 1: Capillary Action, the Height of Trees, and the Optimal Placement of Branches." Posted July 2009. Npand.wordpress.com. Accessed August 2009. (Derivation of water height in capillary tubes). http://npand.wordpress.com/2008/08/05/tree-physics-1/
Robinson, Clay. "Capillary Action." Last updated January 27, 2009. Accessed August 2009. (Includes discussion of capillary action in soil). http://www.wtamu.edu/~crobinson/SoilWater/capillar.html
Smith, S. E. "What is Capillary Action?" Accessed June 2010. http://www.wisegeek.com/what-is-capillary-action.htm
Stein, Becky. "Capillary Action." Last updated August 8, 2009. Chemwiki.ucdavis.edu. Accessed July 2010. http://chemwiki.ucdavis.edu/Physical_Chemistry/Physical_Properties_of_Matter/Intermolecular_Forces/Cohesive_And_Adhesive_Forces/Capillary_Action
Other Related Information
Browse the NGSS Engineering-aligned Physics Curriculum hub for additional Physics and Physical Science curriculum featuring Engineering.
Copyright
© 2013 by Regents of the University of Colorado; original © 2010 Duke UniversityContributors
Jean Stave, Durham Public Schools, NC; Chuan-Hua Chen, Mechanical Engineering and Material Science, Pratt School of Engineering, Duke UniversitySupporting Program
NSF CAREER Award and RET Program, Mechanical Engineering and Material Science, Pratt School of Engineering, Duke UniversityAcknowledgements
This digital library content was developed under an NSF CAREER Award (CBET- 08-46705) and an RET supplement (CBET-10-09869). However, these contents do not necessarily represent the policies of the National Science Foundation, and you should not assume endorsement by the federal government.
Last modified: April 22, 2021

User Comments & Tips